热烈祝贺我院光电信息科学与工程系青年教师胡征达博士与其合作者,香港大学博士后黄奕筱博士,联合在Nature出版社旗下期刊Scientific Reports(IF:5.078)上发表了学术论文“Spin and field squeezing in a spin-orbit coupled Bose-Einstein condensate”,Scientific Reports 5, 8006 (2015)。该论文跻身2015年度江南大学科研论文影响因子排名前十名(截至2015年03月31日),成为理学院高水平论文发表的重大突破。
该论文由一个在Nature上发表的实验方案[Nature 471, 83 (2011)]出发,考虑由一对拉曼激光引入的自旋-轨道耦合的玻色-爱因斯坦凝聚体(SOC-BEC),将其映射到量子光学中的Dicke模型,以自旋极化或者谐振势阱模的占据数为序参量,可以发现该SOC-BEC系统中存在类似Dicke系统的量子相变。通过研究基态下的自旋-轨道耦合引起的自旋压缩和场压缩的特性,发现自旋压缩和场压缩可以以不同方式刻画量子相变。

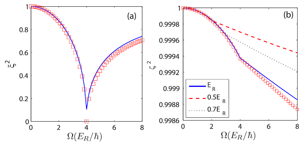
(a) 自旋压缩 (b) 场压缩随拉曼耦合强度Ω的变化
如上图所示,自旋压缩参数随拉曼耦合强度Ω的变化呈现为先减小后增大,在相变点(Ω=4)呈现一个尖锐的谷点,而场压缩随拉曼耦合强度Ω的变化表现为在相变点产生非线性-线性的非渐进突变。此外,文章还分析了拉曼失谐对基态波函数的影响,发现自旋极化和准动量在零失谐点为跳跃间断点,失谐的存在会提高谐振势阱模的占据数而抑制自旋压缩和场压缩。
光电系近年来已有多篇文章在Optics Express,Applied Physics Express等高水平期刊(二区)上发表,表明我院光电专业的科研水平在不断提高。 期望在胡征达博士这篇论文发表的带领和激励下,理学院的科研水平和科研成果能够再上新台阶。